比特币期权定价方式有哪些?比特币期权怎么盈利?
比特币是迄今为止最大的加密货币,是在传统金融基础设施之外运作,其关键概念就是去中心化。而随着比特币市场的扩大,比特币期权衍生出被投资者喜爱。比特币期权是一种以加密货币为基础的金融合约,赋予持有者在未来特定时间内以约定价格买入或卖出一定数量的比特币的权利,而不是义务。简单了解相关定义之后,投资者可能更好奇比特币期权定价方式有哪些?就资料分析来看,定价方式主要就是蒙特卡洛模拟、隐含波动率法等,下面小编为大家详细说说。

比特币期权定价方式有哪些?
比特币期权定价方式可以选择传统金融模型如布莱克-舒尔斯或二叉树模型,也可以根据比特币市场的特殊性调整方法如蒙特卡洛模拟、隐含波动率法等。比特币期权的定价方式与传统金融中的期权定价方法类似,但由于比特币的高波动性和市场特点,可能会有所调整。以下是主要的比特币期权定价方法介绍:
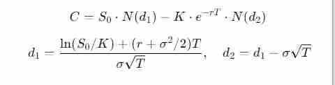
1、布莱克-舒尔斯模型:一种经典的期权定价方法,用数学模型计算欧洲期权的理论价格。
公式:

适用于欧洲期权,计算相对简单。但假设波动率恒定、市场流动性高,而比特币市场波动率较高且可能变化,这导致结果可能不准确。
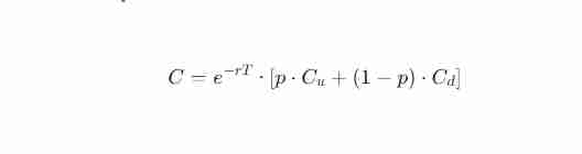
2、二叉树模型:将资产价格变化视为每个时间间隔内的上涨或下跌,通过迭代计算期权价格。
基本步骤:将到期时间分成若干小时间段。假设比特币价格每段时间可能向上(涨幅为u)或向下(跌幅为d)。使用风险中性概率p计算期权的期望价值。
公式:

更灵活,可适应不同波动率和美式期权。计算复杂度较高。
3、蒙特卡洛模拟:通过模拟比特币价格在到期时间内的多个可能路径,计算期权的平均价值。
基本步骤:基于比特币当前价格、波动率和利率,生成多个价格路径。对每条路径计算到期时的期权收益。将所有路径的收益折现求平均,得到期权价格。
公式:

适用于复杂的衍生品定价,能处理非标准条件。需要大量计算,对计算资源依赖较大。
4、隐含波动率法:基于市场交易的期权价格,反推出波动率,然后将其代入定价模型(如布莱克-舒尔斯)。当市场已经有交易价格时,隐含波动率可以作为一个合理的参数,调整定价模型。反映市场预期的真实波动性。需要实时市场数据支持。
5、随机波动率模型:假设比特币价格和波动率都随时间变化,采用随机过程模型描述价格行为。
公式:

能更精确反映波动率变化。计算复杂,参数估计困难。
6、市场观察法:直接通过观察市场上的期权交易价格,使用供需关系和市场价差预测期权价格。当市场流动性较高时,交易价格可能比理论模型更可靠。快速且真实。市场情绪和操纵可能导致偏差。
比特币期权怎么盈利?
比特币期权盈利的主要策略包括买入期权、卖出期权、利用市场波动、套期保值和期权组合策略。比特币期权是一种基于比特币的金融衍生品,允许投资者在未来以约定价格买入或卖出比特币。下文是策略的具体介绍:
1、买入期权:看涨期权:当你预期比特币价格会上涨时,可以购买看涨期权。如果到期时比特币价格高于执行价格,你可以以较低的执行价格购买比特币,并以市场价格卖出,从而实现盈利。
看跌期权:当你预期比特币价格会下跌时,可以购买看跌期权。如果到期时比特币价格低于执行价格,你可以以市场价格卖出比特币,并以较高的执行价格买回,从而实现盈利。
2、卖出期权:卖出看涨期权:你可以选择卖出看涨期权,收取期权费。如果比特币价格在期权到期时低于执行价格,期权将失效,你保留所收取的期权费作为利润。但需注意,这种策略存在无限亏损的风险。
卖出看跌期权:卖出看跌期权,收取期权费。如果比特币价格高于执行价格,期权将失效,期权费成为你的利润。如果价格低于执行价格,你可能需要以执行价格购买比特币。
3、利用市场波动:比特币的价格波动性较大,投资者可以利用这一点进行期权交易。如果预计市场波动性将增加,可以购买期权,波动性增加时,期权的价格通常会上涨,投资者可以在期权价格上涨时卖出获利。
4、套期保值:如果你已经持有比特币,可以通过购买看跌期权来保护你的投资。当比特币价格下跌时,看跌期权的价值会上升,从而抵消部分损失。
5、期权组合策略:牛市价差:同时买入一个看涨期权并卖出另一个行权价更高的看涨期权,以限制风险并降低成本。
熊市价差:同时买入一个看跌期权并卖出另一个行权价更低的看跌期权,以限制风险并降低成本。
铁鹰策略:结合看涨和看跌期权,构建一个收益区间,适合在预期价格波动不大的情况下盈利。
以上就是比特币期权定价方式有哪些?比特币期权怎么盈利?的详细内容
你可能感兴趣的文章
-
映泰TB250BTC挖矿主板BIOS设置(完全攻略,让你轻松挖矿)
映泰tb250btc挖矿主板的bios设置相对简单…
2023-07-05 -
MCU带两个ETH,实现高效数据传输(详细介绍MCU带双ETH的应用场景和优势)
要实现一个MCU带两个ETH,需要选择支持多个…
2023-07-04 -
详解代币经济学:供需、激励与治理等
代币经济学是加密货币的一个重要方面。如…
2022-08-02 -
企业将 x to earn 作为Web3 探索大门
写在前面我们从不同的x模式下,挑选了较具…
2022-08-02 -
Goerli 将与 Prater 合并
作为最后一个进行权益证明过渡的测试网,Go…
2022-08-02 -
opensea卖出以太坊怎么转人民币(详细教程分享,快速实现数字货币兑换)
要将在Opensea卖出的以太坊转换成人民币,…
2023-07-05 -
SOL币用什么挖矿?SOL币挖矿教程详解
摘要: SOL币是Solana区块链生态系统中使用…
2023-07-04 -
银行除了不去中心化其他都完胜Crypto
如果一条为了取代以太坊的公链,为了性能、…
2022-08-02 -
代币薪酬设计指南
代币和整个加密货币市场的波动性较大,因此…
2022-08-02 -
SHIB(柴犬币):一场有趣的社区化实验(了解Shiba Inu币背后的故事与未来发展)
SHIB是Shiba Inu Token的缩写,是一种基于…
2023-07-05 -
加入一个在 Web3 领域有声望的团队
区块链网专职打假记者李文峰报道:如果你刚…
2022-08-02 -
加密货币市场近期崩溃的内在原因
7月20日,知名加密VCParadigm创始合伙人 M…
2022-08-02
